MATH 165B: Introduction to Complex Variables, Part II - Spring 2022 - Section 002 (discussion)

Course information

Discussion meeting

T.A. office hours

Whiteboard slides

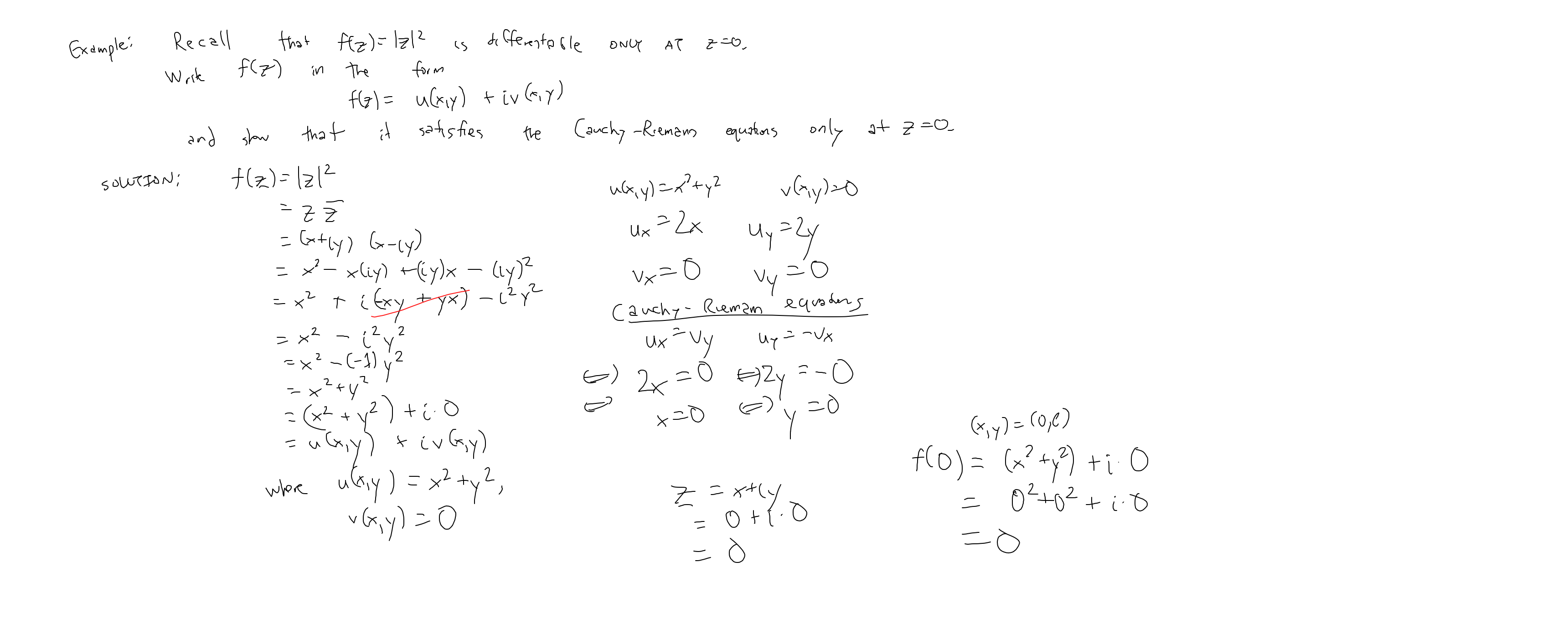
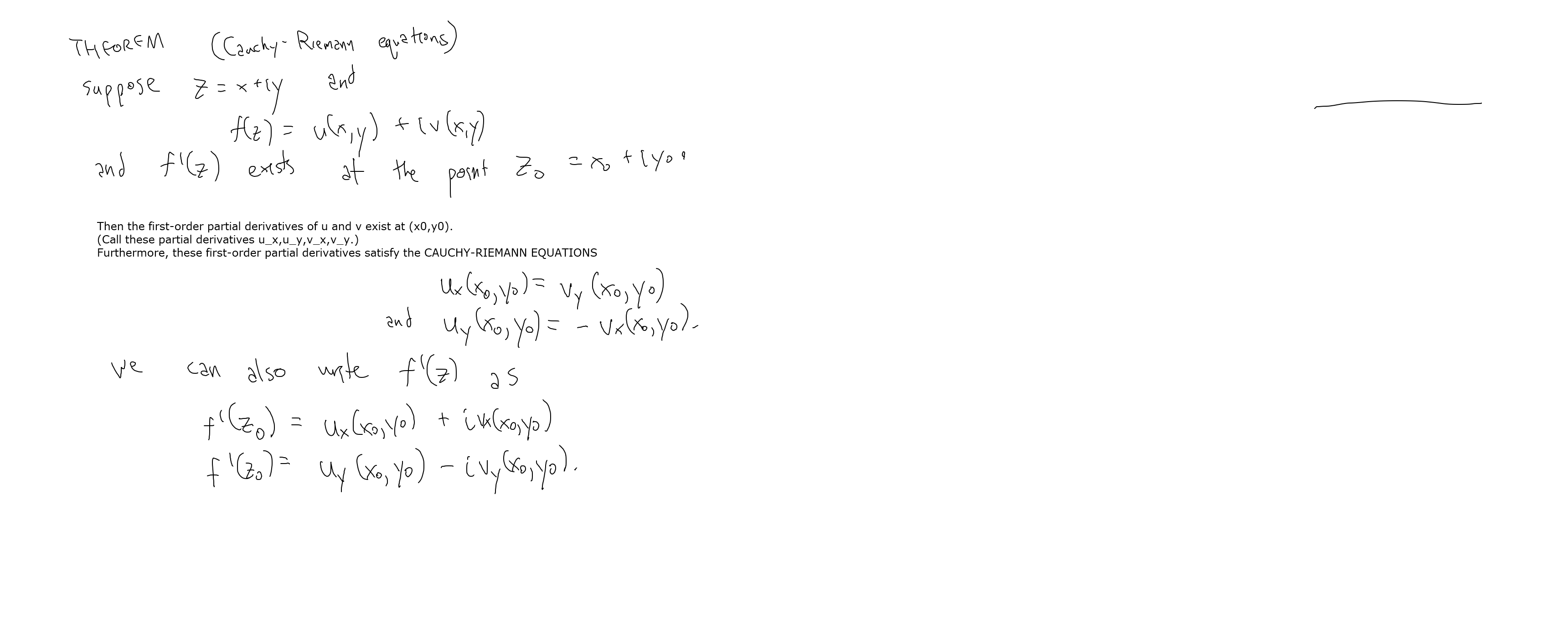
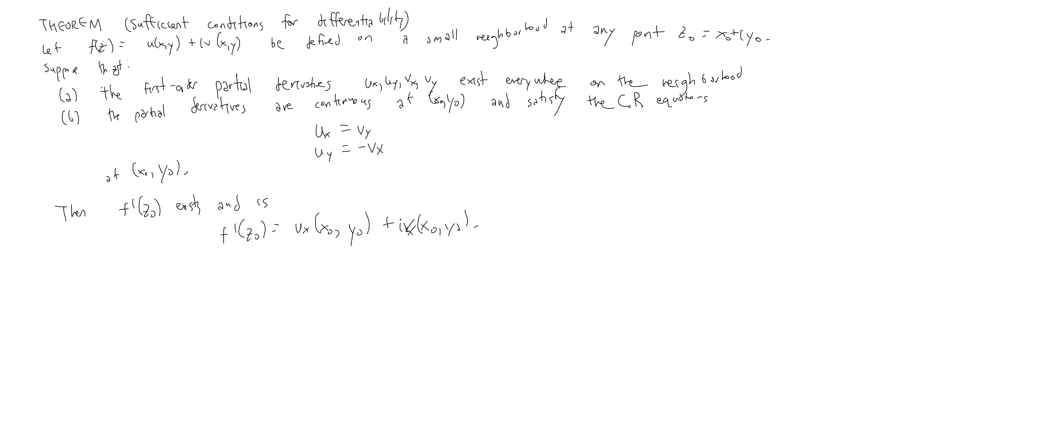
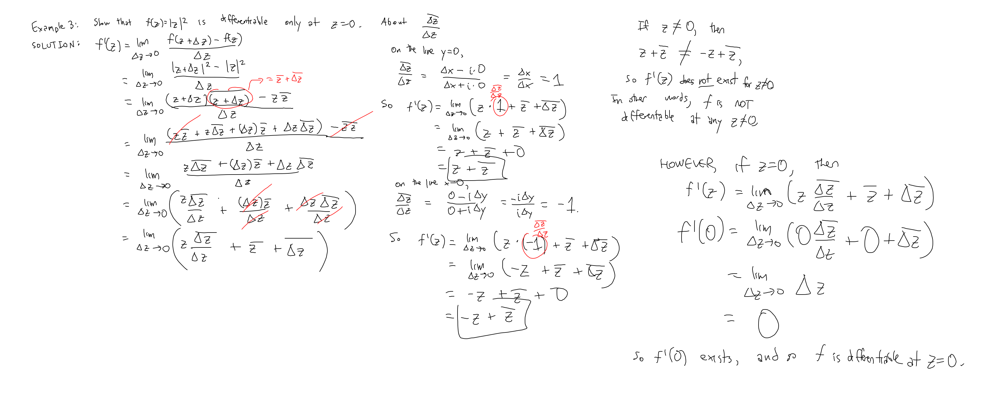
Here are all the whiteboard slides from our first two discussion meetings

1, 2, 3, 4, 5, 6, 7, 8, 9, 10

Also, we have addressed one of the midterm mquestions during Week 8.

Finally, please see the whiteboard slides from our final discussion meeting during Week 9:

1, 2, 3

Homework solutions

Below are my typed solutions to your homework assignments, which will be posted here about once a week.

Homework 9 is on Rouché's theorem, but I will not be typing solutions to Homework 9 because there is no discussion on Week 10 due to Memorial Day. I have been typing solutions with the sole intention of presenting them in our discussion meeting first before I post them on here.

Evaluations