Course information
- Syllabus from Estela Gavosto
Discussion meeting
- Fridays 11:00 a.m. - 11:50 a.m. online (Zoom meeting ID: 981-1493-8299)
T.A. office hours
- Mondays 1:00 p.m. - 1:50 p.m. online, at the discussion Zoom ID
Whiteboard slides
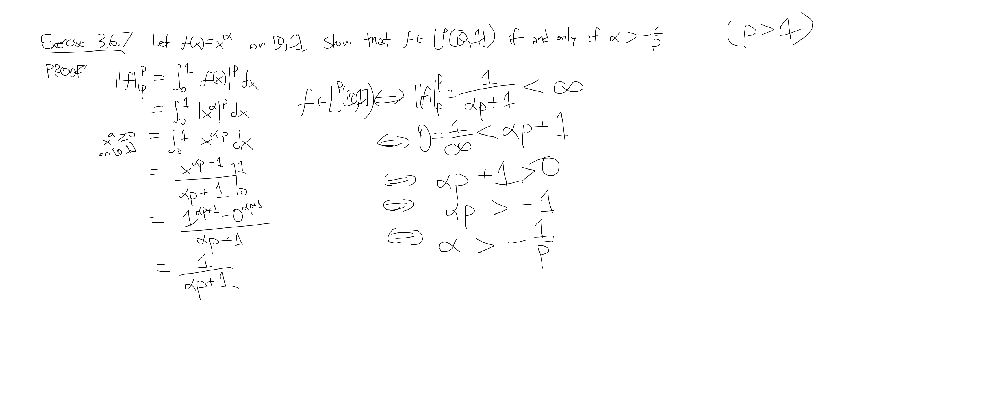
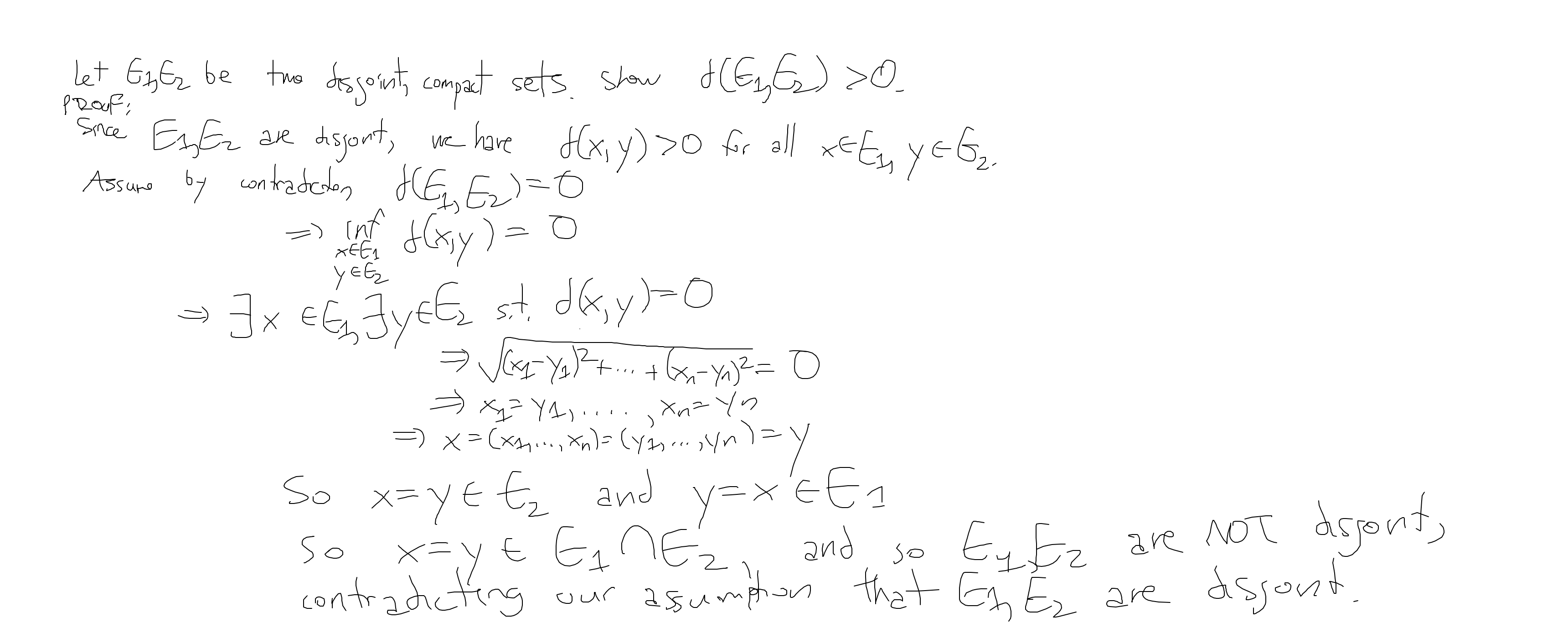
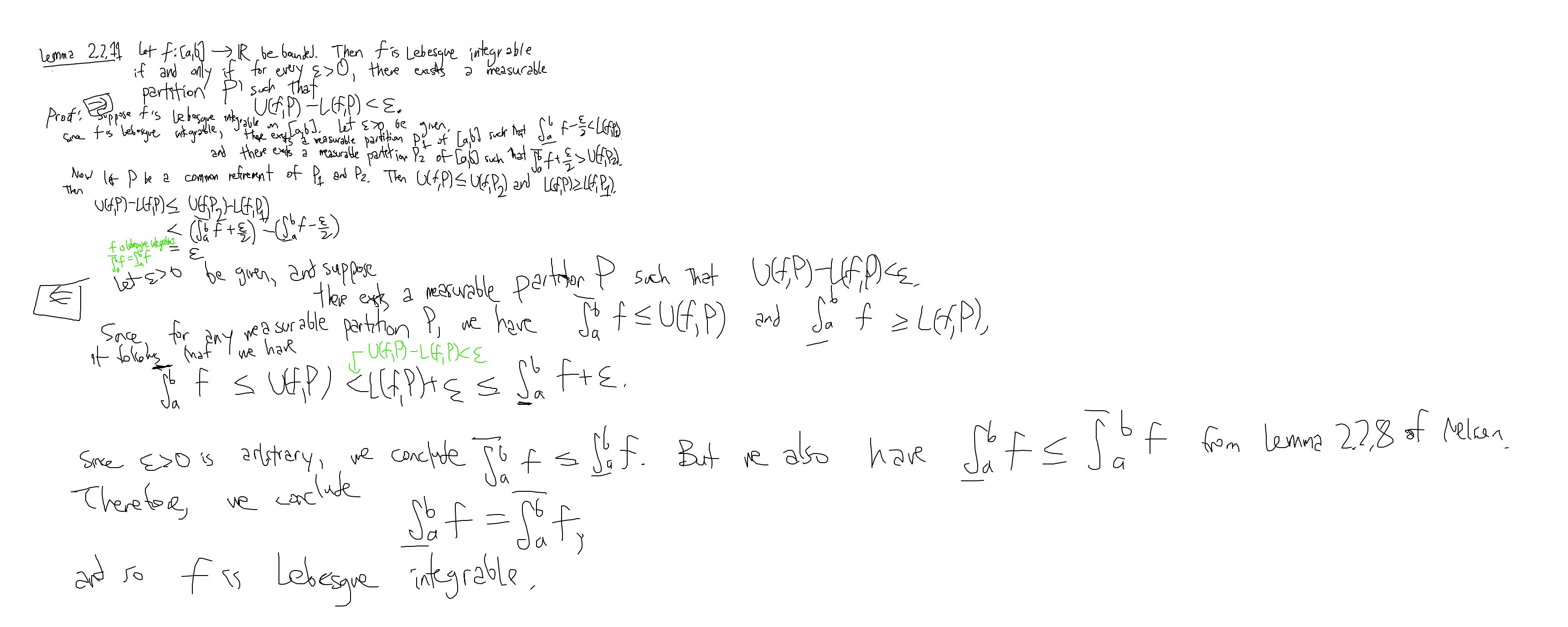
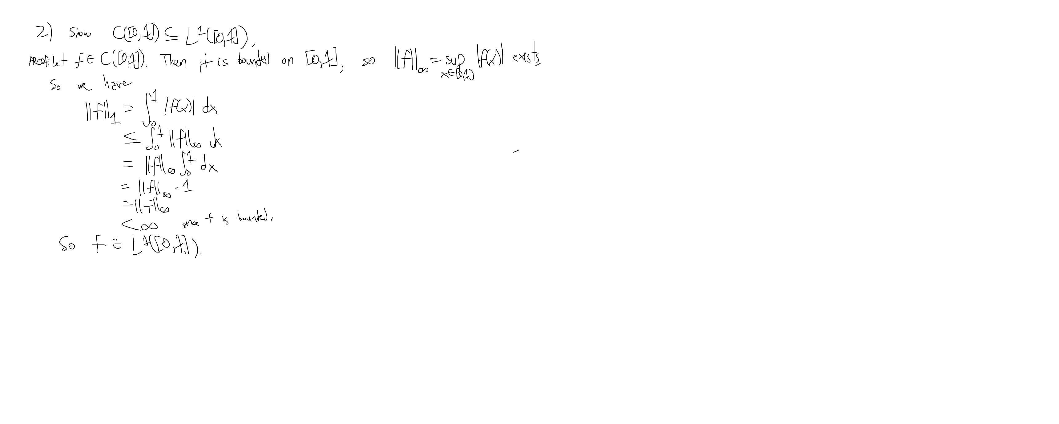
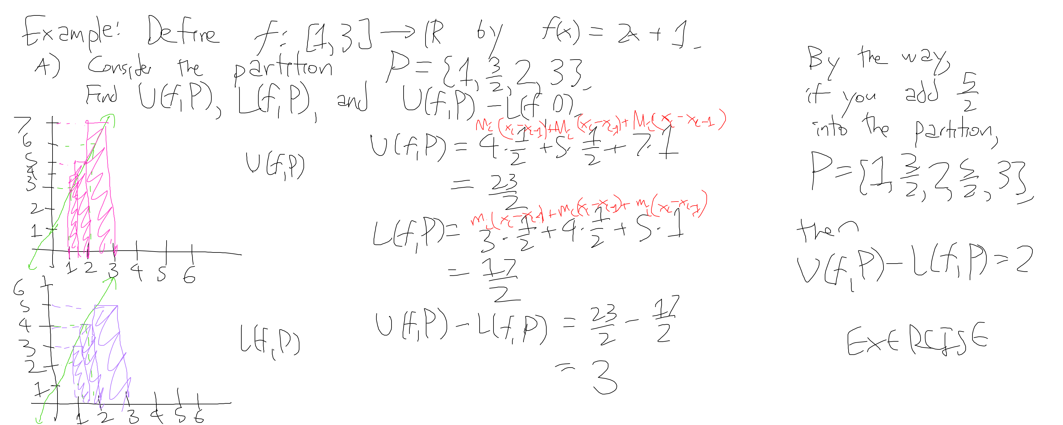
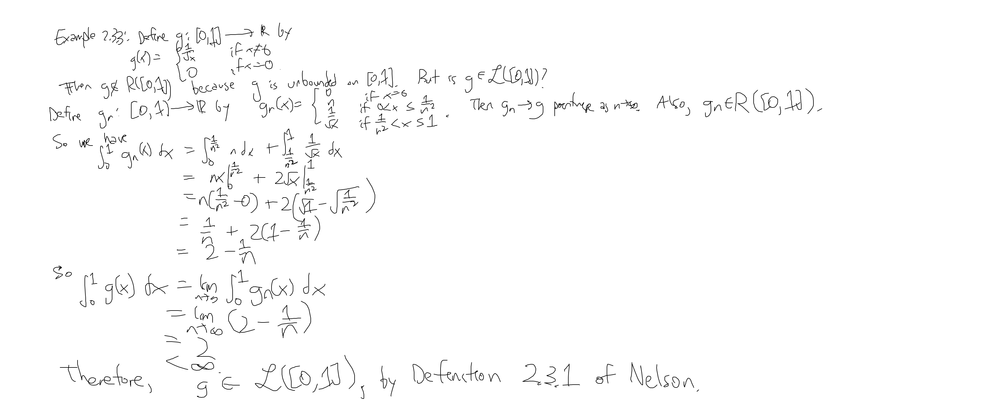
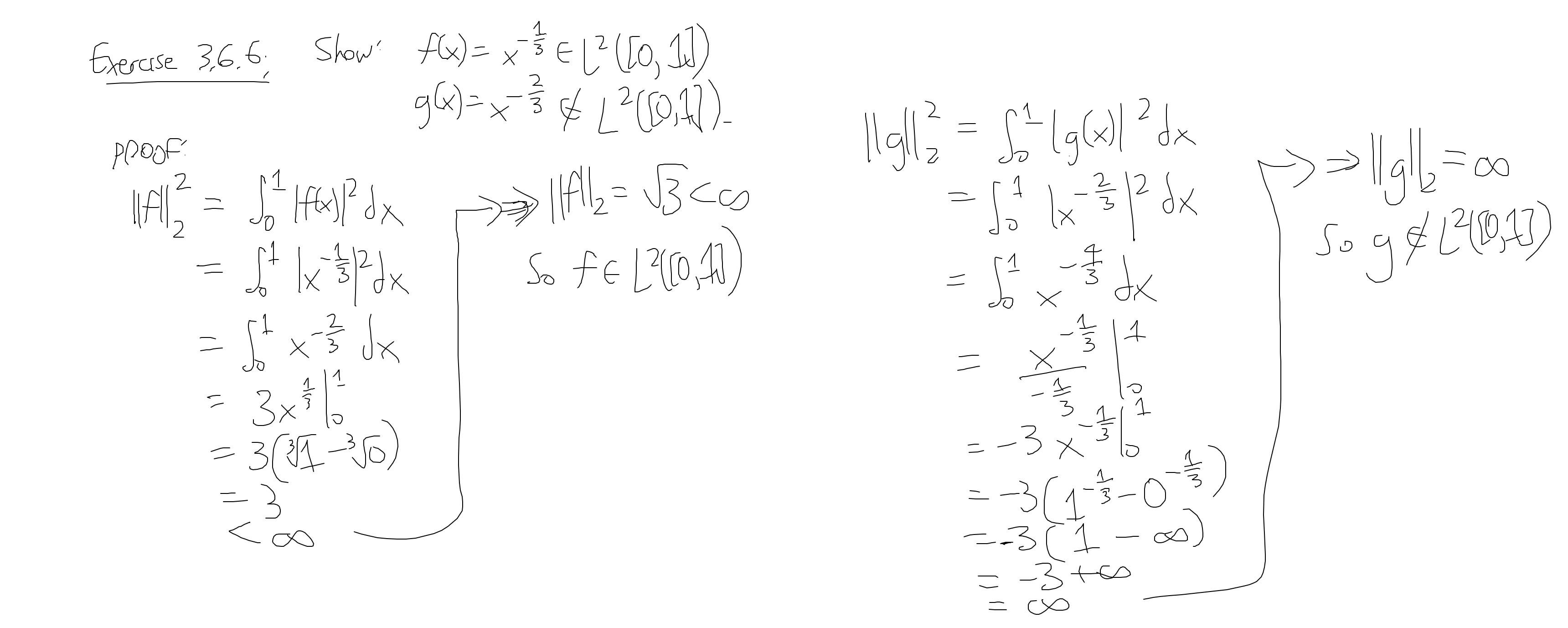
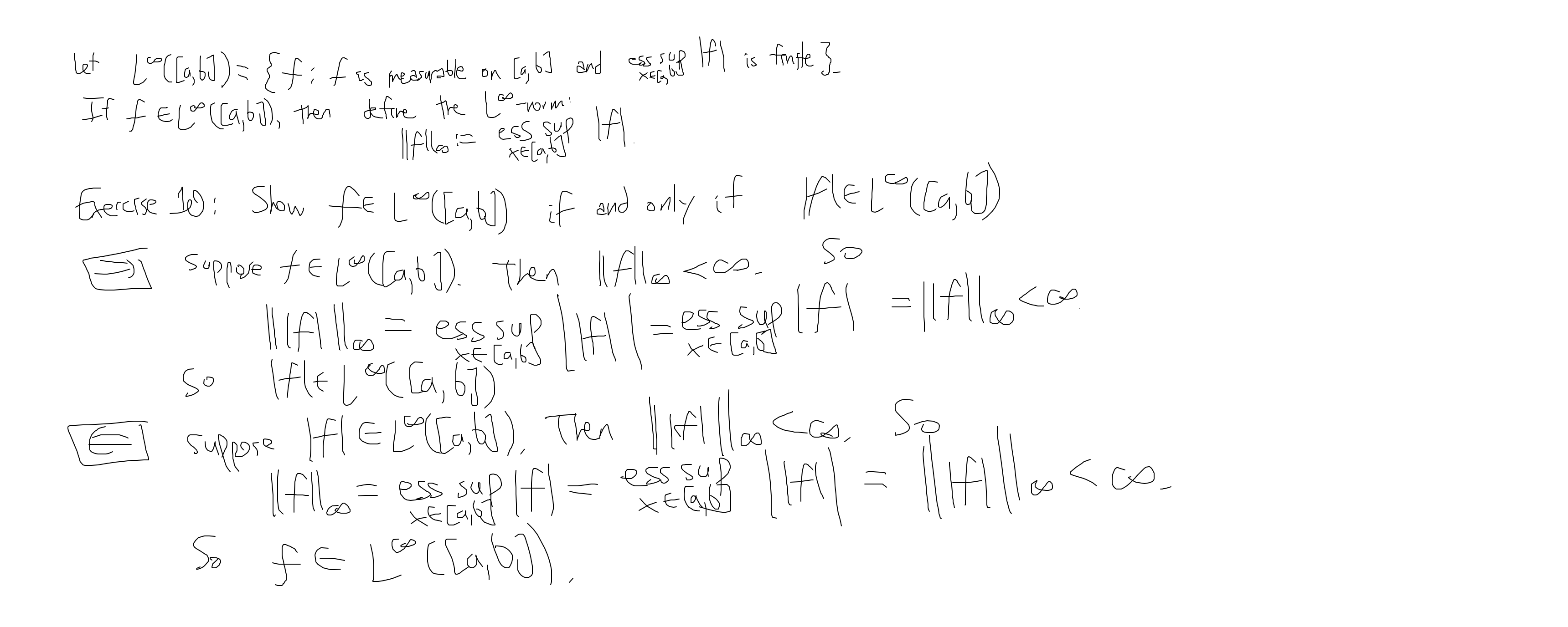
Here are all the whiteboard slides from our discussion meetings on Zoom that I have saved.- Week 1: 1, 2, 3, 4
- Week 2: Group work
- Week 3: 1, 2
- Week 4: 1, 2, 3, 4
- Week 5: 1, 2, 3, 4
- Week 6: Nothing to post
- Week 7: Nothing to post
- Week 8: 1, 2, 3, 4, 5, 6, 7
- Week 9: 1, 2, 3, 4
- Week 10:
Homework solutions
Below are my typed solutions to your homework assignments, which will be posted here after a homework assignment is due. From time to time, I may post some hints here before a homework assignment is due. Note that my solutions contain one valid approach to a given problem, but of course there are usually also other valid proofs to the same problem.
- Homework 1 problems by Estela Gavosto and my Homework 1 solutions
- Homework 2 problems by Estela Gavosto and my Homework 2 solutions
- Homework 3 problems by Estela Gavosto and my Homework 3 solutions
- Homework 4 problems by Estela Gavosto and my Homework 4 solutions
- Homework 5 problems see Estela's iLearn by Estela Gavosto and my Homework 5 solutions not yet available
- Homework 6 problems see Estela's iLearn by Estela Gavosto and my Homework 6 solutions not yet available
Higher stakes homework solutions
Below are my typed solutions to your homework assignments, which will be posted here after a higher stakes homework assignment is due.
- Higher-Stakes Homework 1 problems by Estela Gavosto and my Higher-Stakes Homework 1 solutions
- Higher-Stakes Homework 2 problems by Estela Gavosto and my Higher-Stakes Homework 2 solutions not yet available