The discussion webpage is a collection of materials from our Section 002 discussion. Students in Section 003 with Chulan Zeng may also benefit from this page.
Course information
- Syllabus from Estela Gavosto
Discussion meeting
- Wednesdays 2:00 p.m. - 2:50 p.m. online (Zoom meeting ID: 947-1605-9565)
T.A. office hours
- Fridays 5:00 p.m. - 5:50 p.m. online, at the discussion Zoom ID
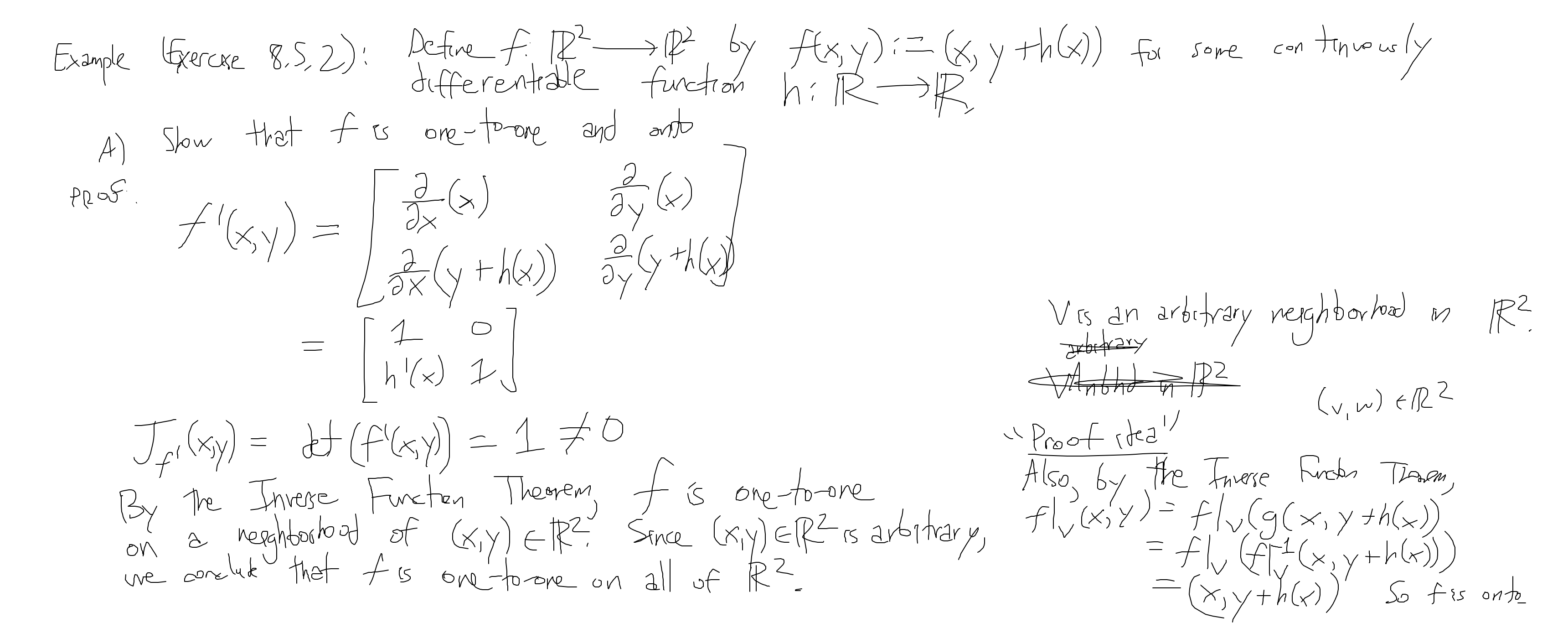
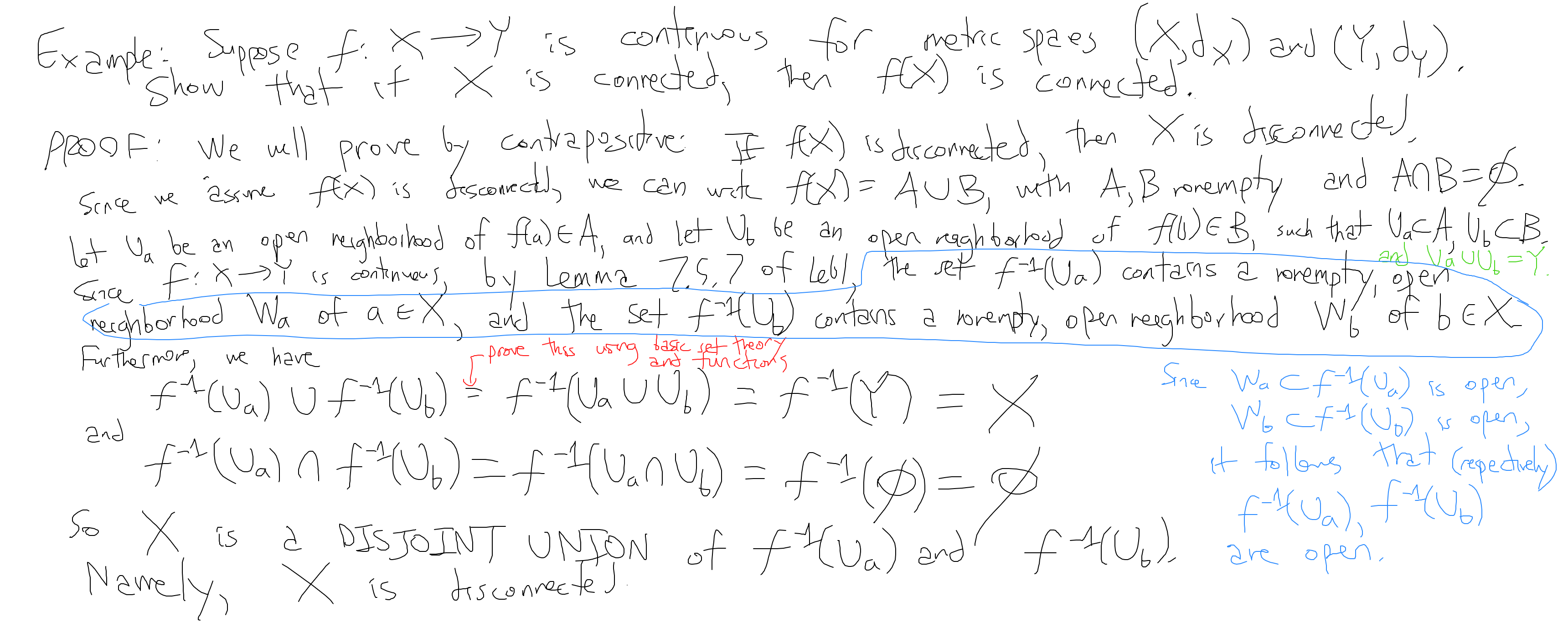
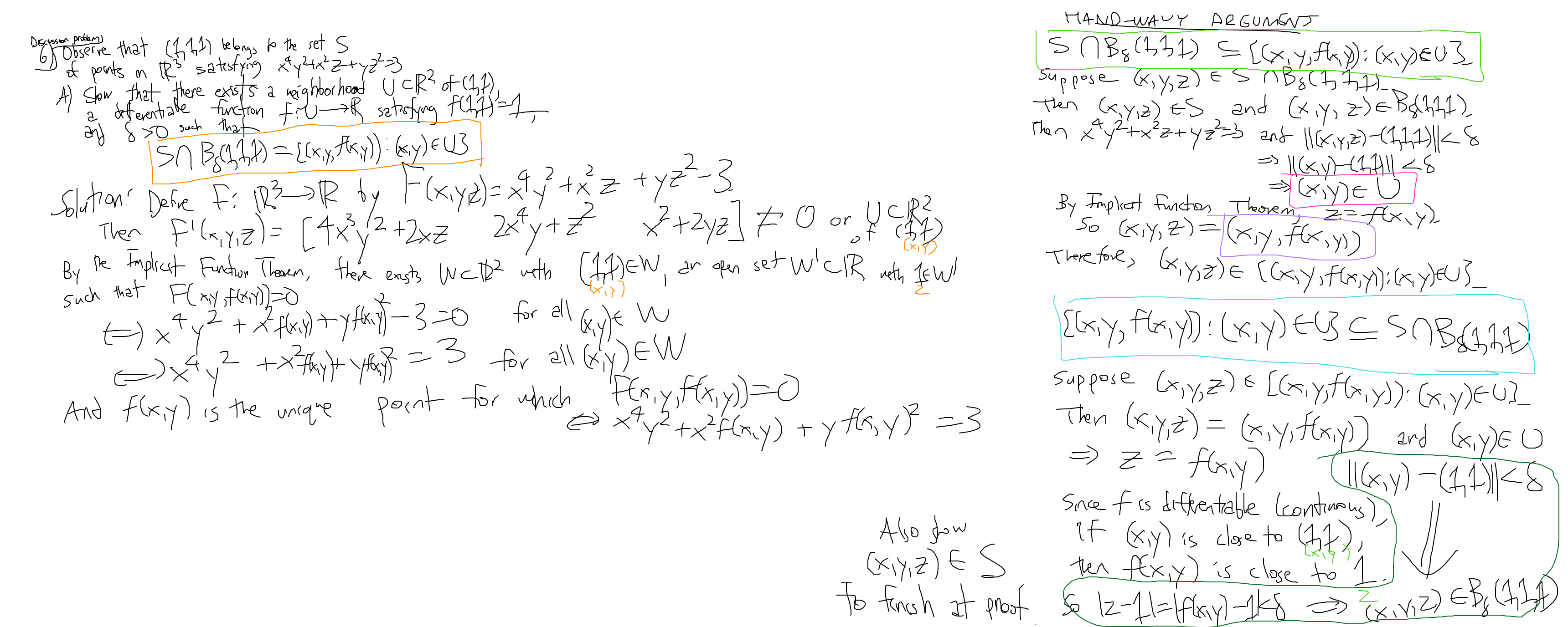
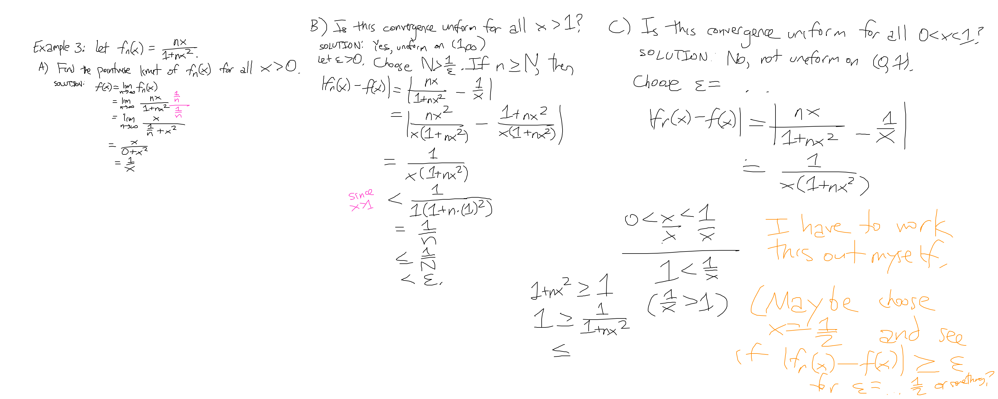
Whiteboard slides
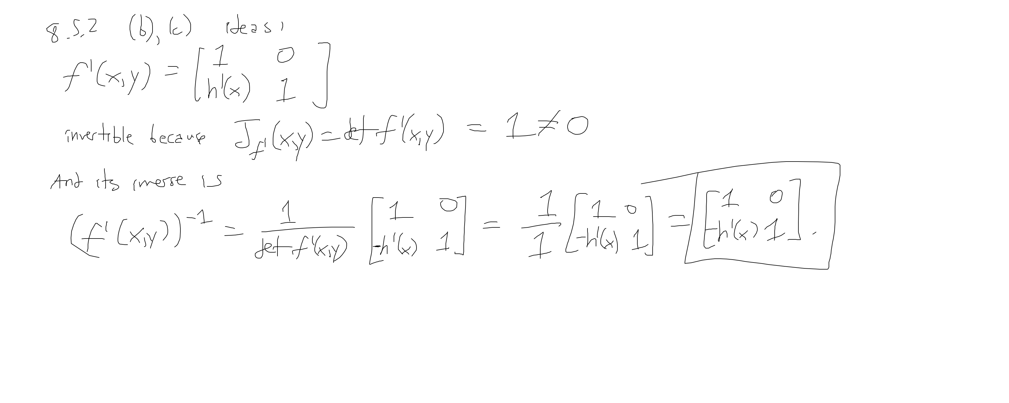
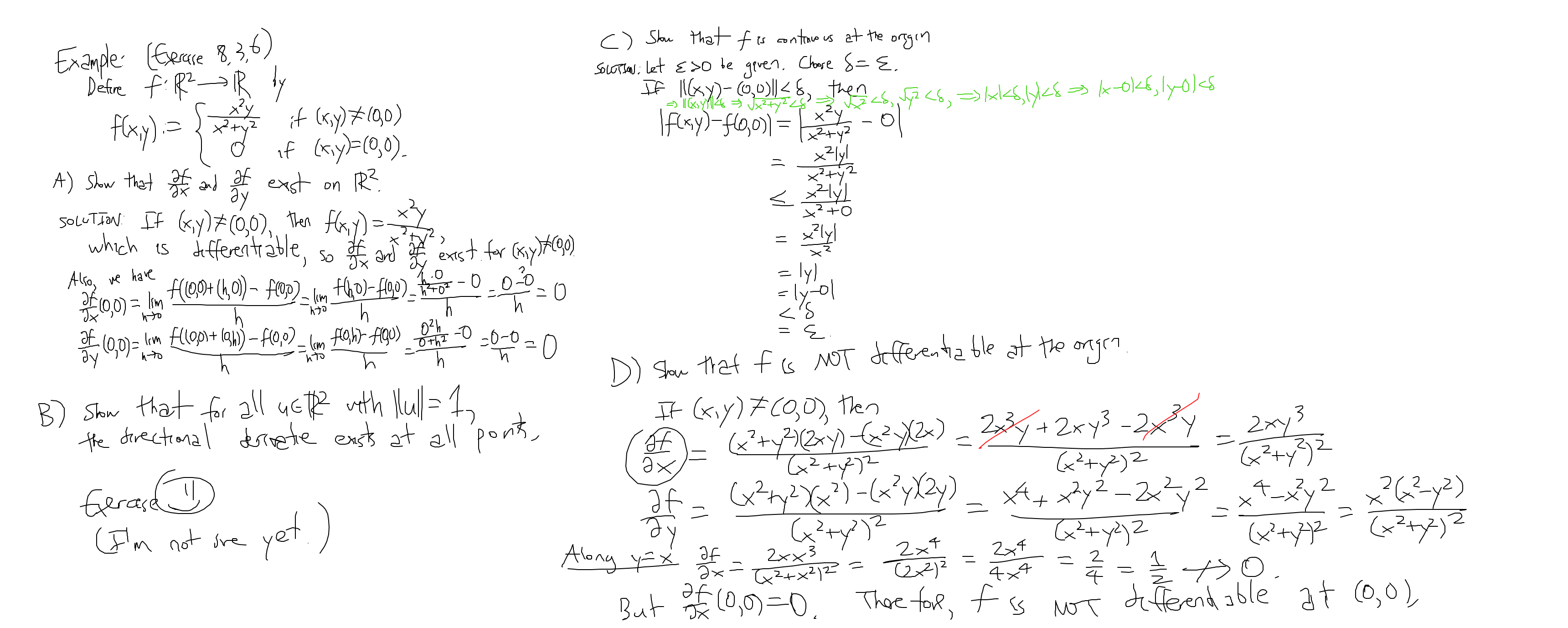
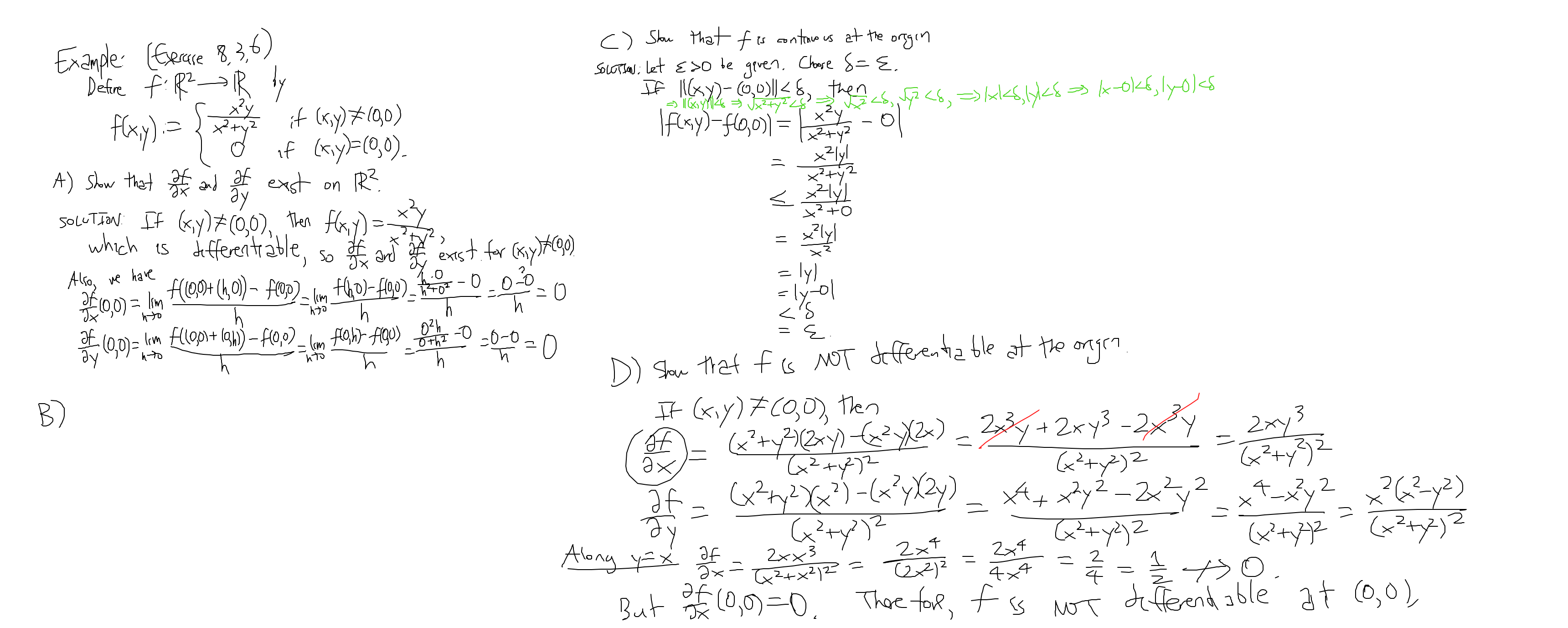
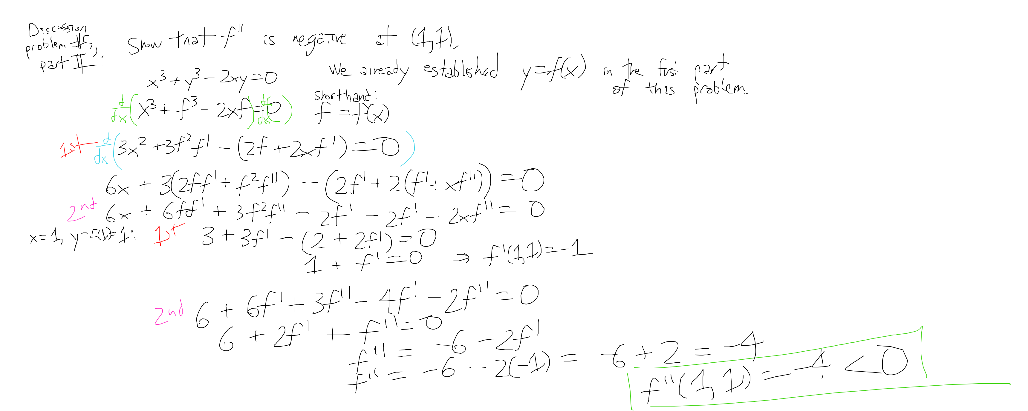
Here are all the whiteboard slides from our discussion meetings on Zoom that I have saved.- Week 1: 1, 2, 3
- Week 2: 1, 2, 3, 4, 5, 6
- Week 3: 1
- Week 4: 1, 2, 3, 4
- Week 5: 1, 2, 3, 4
- Week 6: 1, 2, 3 - slide 2 transcribed by Daniel Dorantes Valdez
- Week 7: 1, 2, 3
- Week 8: 1, 2, 3, 4, 5
- Week 9: 1, 2, 3
- Week 10: 1, 2
Homework solutions
Below are my typed solutions to your homework assignments, which will be posted here after a homework assignment is due. From time to time, I may post some hints here before a homework assignment is due. Note that my solutions contain one valid approach to a given problem, but of course there are usually also other valid proofs to the same problem.
- Homework 1 problems by Estela Gavosto and my Homework 1 solutions
- Homework 2 problems by Estela Gavosto and my Homework 2 solutions
- Homework 3 problems by Estela Gavosto and my Homework 3 solutions
- Homework 4 problems by Estela Gavosto and my Homework 4 solutions
- Homework 5 problems by Estela Gavosto and my Homework 5 solutions
- Homework 6 problems by Estela Gavosto and my Homework 6 solutions
Higher stakes homework solutions
Below are my typed solutions to your homework assignments, which will be posted here after a higher stakes homework assignment is due.
- Higher-Stakes Homework 1 problems by Estela Gavosto and my Higher-Stakes Homework 1 solutions
- Higher-Stakes Homework 2 problems by Estela Gavosto and my Higher-Stakes Homework 2 solutions
- Higher-Stakes Homework 3 problems by Estela Gavosto and my Higher-Stakes Homework 3 solutions
Evaluations